Interaktives Physik-Lexikon und Lernsystem für Schüler und Studenten mit kompakten Erklärungen zur Physik, Bildschirmexperimenten, Physik-Aufgaben, Physik-Applets, Foren, Physik-Links, Suchfunktionen, Buchempfehlungen, News, Lernfunktion für Prüfungen ...
Die Hauptgebiete

1. Experimentalphysik 1-4

11. Strömende Flüssigkeiten und Gase



4. Laminare Strömungen realer Flüssigkeiten:

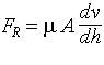
Formel
Es gilt Formel      mit Formel  empirisches Gesetz
Formel = dynamische Zähigkeit - innere Reibung

Stokes´sches Gesetz für Reibungskraft einer Kugel in Flüssigkeit:
Formel

Querverweise:
Experimentalphysik 1-4:   Druckausbreitung in Flüssigkeiten   Ideale stationäre Strömungen   Turbulente Strömungen
Schulphysik:   Ionenleitung in Flüssigkeiten

24.07.2000 - URL dieser Seite - Seite_ID: 1011004
Link zum Thema Eintragen - Beitrag zum Thema Schreiben - Persönliche Anmerkung - Diskussionsbeitrag zum Thema

5. Strömung durch ein Rohr


Metasuche zu diesem Thema:
Mit der Metasuche finden sie weitere Informationen zu diesem Thema. Die Metasuche durchsucht ausgewählte Online-Quellen aus verschiedenen Bereichen. Das Suchergebnis enthält nach Möglichkeit Auszüge aus den besten Ergebnisseiten und direkte Links zu den Quellen:
Texte (Vorlesungen, Artikel)
Aufgaben (Prüfungen, Übungen)
Simulationen (Java-Applets, Englisch)
Referate, Hausaufgaben
Versuche

  



Literatur zu diesem Thema:
 
 Unser Partner amazon.de liefert ab 20 Euro  -  mehr Bücher im Buchshop



sponsored Link: Meta-Preisvergleich


Kapitelübersicht

11. Strömende Flüssigkeiten und Gase

1. Ideale stationäre Strömungen
2. Kontinuitätsgleichung
3. Bernoullische Gleichung
4. Laminare Strömungen realer Flüssigkeiten
5. Strömung durch ein Rohr
6. Turbulente Strömungen