Interaktives Physik-Lexikon und Lernsystem für Schüler und Studenten mit kompakten Erklärungen zur Physik, Bildschirmexperimenten, Physik-Aufgaben, Physik-Applets, Foren, Physik-Links, Suchfunktionen, Buchempfehlungen, News, Lernfunktion für Prüfungen ...
Die Hauptgebiete

1. Experimentalphysik 1-4

31. Interferenz



6. Interferenzen gleicher Neigung:

Interferenzen, die durch einen Neigungswinkel bestimmt werden heißen Interferenzen gleicher Neigung

Zum Beispiel hängt der Gangunterschied zwischen a und b an der planparallelen Platte nur vonab:



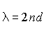
=> Auslöschung für



Die entstehenden Interferenzerscheinungen sind kreisförmig

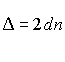
Für: Auslöschung für=> bei dünnen Schichten können bestimmteausgelöscht werden => man sieht die Komplementärfarben.
Für sehr dünne Schichten wird=> totale Auslöschung

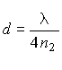
Anti-Reflex-Belag:


fürgiltfür Strahl 1 und Strahl 2 (wegen Phasensprung bei der Reflexion)
Auslöschung für
Optimal für

Querverweise:
Experimentalphysik 1-4:   Überlagerung zweier Wellen gleicher Frequenz und Amplitude   Interferenzen gleicher Dicke

13.09.2000 - URL dieser Seite - Seite_ID: 1031006
Link zum Thema Eintragen - Beitrag zum Thema Schreiben - Persönliche Anmerkung - Diskussionsbeitrag zum Thema

7. Interferenzen gleicher Dicke


Metasuche zu diesem Thema:
Mit der Metasuche finden sie weitere Informationen zu diesem Thema. Die Metasuche durchsucht ausgewählte Online-Quellen aus verschiedenen Bereichen. Das Suchergebnis enthält nach Möglichkeit Auszüge aus den besten Ergebnisseiten und direkte Links zu den Quellen:
Texte (Vorlesungen, Artikel)
Aufgaben (Prüfungen, Übungen)
Simulationen (Java-Applets, Englisch)
Referate, Hausaufgaben
Versuche

  



Bildschirmexperimente zu diesem Thema:
Standfestigkeit
[Beschreibung] [Download]

 
Bildschirmexperimente und Beschreibungen: © dim.digitale medien  -  mehr Experimente...




Literatur zu diesem Thema:
 
 Unser Partner amazon.de liefert ab 20 Euro  -  mehr Bücher im Buchshop



sponsored Link: Meta-Preisvergleich


Kapitelübersicht

31. Interferenz

1. Interferenz
2. Kohärenz
3. Erzeugung von kohärentem Licht
4. Optische Weglänge
5. Interferenzversuche
6. Interferenzen gleicher Neigung
7. Interferenzen gleicher Dicke
8. 2-Strahl Interferometer
9. Vielstrahl-Interferenzen
10. Vielstrahl Interferometer
11. Auflösungsvermögen von Interferometern
12. Auflösungsvermögen des Prismas
13. Gitterspektrum / Prismenspektrum