Interaktives Physik-Lexikon und Lernsystem für Schüler und Studenten mit kompakten Erklärungen zur Physik, Bildschirmexperimenten, Physik-Aufgaben, Physik-Applets, Foren, Physik-Links, Suchfunktionen, Buchempfehlungen, News, Lernfunktion für Prüfungen ...
Die Hauptgebiete

1. Experimentalphysik 1-4

11. Strömende Flüssigkeiten und Gase



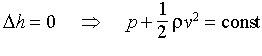
3. Bernoullische Gleichung:

Bernoullische Gleichung: Formel
 p = hydrostatischer Druck (Druck auf mitbewegtes
                                              Volumenelement)
Formel = Schweredruck (nimmt mit h zu)
Formel = hydrodynamischer Druck (Staudruck)
Formel = Druck bei v = 0 am tiefsten Punkt

Die Bernoullische Gleichung gilt nur für ideale Flüssigkeiten
mit Formel

Meißtens ist Formel

Querverweise:
Experimentalphysik 1-4:   Braggsche Gleichung
Quantenmechanik:   Von Neumann Gleichung   Pauli Gleichung

24.07.2000 - URL dieser Seite - Seite_ID: 1011003
Link zum Thema Eintragen - Beitrag zum Thema Schreiben - Persönliche Anmerkung - Diskussionsbeitrag zum Thema

4. Laminare Strömungen realer Flüssigkeiten


Metasuche zu diesem Thema:
Mit der Metasuche finden sie weitere Informationen zu diesem Thema. Die Metasuche durchsucht ausgewählte Online-Quellen aus verschiedenen Bereichen. Das Suchergebnis enthält nach Möglichkeit Auszüge aus den besten Ergebnisseiten und direkte Links zu den Quellen:
Texte (Vorlesungen, Artikel)
Aufgaben (Prüfungen, Übungen)
Simulationen (Java-Applets, Englisch)
Referate, Hausaufgaben
Versuche

  



Literatur zu diesem Thema:
 
 Unser Partner amazon.de liefert ab 20 Euro  -  mehr Bücher im Buchshop



Diskussionsbeiträge zu dieser Seite:   (Neuer Beitrag)
 aus dem Physik-Forum:
  • Re: Staudruck - Uwe 21.12.2005 10:36
    .... h hab die Bernoullische Gleichung angesetzt .... (Relevanz: 167)
  • Staudruck - Tobias 20.12.2005 15:34
    .... h hab die Bernoullische Gleichung angesetzt .... (Relevanz: 106)
 



sponsored Link: Meta-Preisvergleich


Kapitelübersicht

11. Strömende Flüssigkeiten und Gase

1. Ideale stationäre Strömungen
2. Kontinuitätsgleichung
3. Bernoullische Gleichung
4. Laminare Strömungen realer Flüssigkeiten
5. Strömung durch ein Rohr
6. Turbulente Strömungen